Beranda
/ Mencari Nilai X Dan Y - Sistem Persamaan Linier Dua Variabel Sistem Persamaan Linier - Dalam artikel ini, kami akan membahas seputar cara mencari nilai variabel x diantaranya cara menghitung nilai x, cara menentukan nilai x.
Mencari Nilai X Dan Y - Sistem Persamaan Linier Dua Variabel Sistem Persamaan Linier - Dalam artikel ini, kami akan membahas seputar cara mencari nilai variabel x diantaranya cara menghitung nilai x, cara menentukan nilai x.
Mencari Nilai X Dan Y - Sistem Persamaan Linier Dua Variabel Sistem Persamaan Linier - Dalam artikel ini, kami akan membahas seputar cara mencari nilai variabel x diantaranya cara menghitung nilai x, cara menentukan nilai x.. Jika kita sudah mendapatkan nilai dari x, maka yang lainnya akan mudah kita dapatkan nilainya. Kemudian di substitusikan ke persamaan berikut nya. Tentunya akan ditampilkan dahulu flowcart untuk mempermudah. Ada beberapa cara untuk mencari nilai x, entah kamu bekerja dengan kuadrat dan akar atau jika kamu hanya membagi atau mengali. Lihat grafik untuk melihat nilai mana yang berfungsi untuk x.
Tugas peneliti adalah mencari hubungan yang menarik dan penting, yang menerangkan maslah yang diamati. Cari bilangan priman di codeblocks. Matematika sma, matematika kuliah, matrix 3x3, determinant, mathematics tutorial, tutorial matematika. Kemudian di substitusikan ke persamaan berikut nya. Berbagi tips matematika,humor,cerita kehidupan,dan berita.
Menentukan Nilai X Dan Y Dengan Invers Matriks Youtube from i.ytimg.com Berapa unit barang a yang harus terjual agar perusahaan dapat menutup semua biaya yang telah dikeluarkan dan tunjukkan dengan perhitungan. Video di atas untuk kelas 12 bab pertama di matematika peminatan. Adanya smartphone/gadget tidak lantas sementara generasi x berada di bawah kedua generasi tersebut dalam mencari barang atau produk atau bila melakukan perbandingan antara generasi x dan y, konsistensi dan loyalitas terhadap. Ada beberapa cara untuk mencari nilai x, entah kamu bekerja dengan kuadrat dan akar atau jika kamu hanya membagi atau mengali. Kemudian di substitusikan ke persamaan berikut nya. Kali ini akan dijelaskan tentang membuat flowcart dan program input_output pascal untuk menentukan nilai x dan y dari dua persamaan linear 2 variabel. Mencari nilai optimum dalam rancangan percobaan. Dua buah matriks atau lebih dapat dikenakan operasi hitung yang berupa penjumlahan/pengurangan dan perkalian.
Video di atas untuk kelas 12 bab pertama di matematika peminatan.
Matematika sma, matematika kuliah, matrix 3x3, determinant, mathematics tutorial, tutorial matematika. Ini akan menjadi senarai koordinat x dan y. Domain anda hanya akan menjadi senarai. Jumpa lagi nih di tugas selanjutnya. Jadi saya langsungkan saja memberi source code tanpa harus mengulas materi terlebih dahulu. Kemudian di substitusikan ke persamaan berikut nya. Dua buah matriks atau lebih dapat dikenakan operasi hitung yang berupa penjumlahan/pengurangan dan perkalian. Byagung september 4, 2019 september 4, 2019. Видео cara mencari nilai x, y, dan z dari. Untuk mencari x, y, dan z kita hanya perlu mencarinya satu persatu. Untuk mencari domain fungsi jenis ini, tetapkan istilah di dalam tanda radikal ke> 0 dan selesaikan untuk mencari nilai yang sesuai untuk x. Agar lebih mengerti, anda bisa menonton video ini. Jika terdapat 3 buah persamaan linier dan kita diperintahkan mencari nilai x,y dan z maka kita dapat mencarinya lebih mudah dengan menggunakan metode matrix.
Mencari barang atau produk atau jasa yang ingin dibeli. Tentukan variabel mana yang ingin dihilangkan lebih dulu dan kemudian cari yang satunya. Kali ini akan dijelaskan tentang membuat flowcart dan program input_output pascal untuk menentukan nilai x dan y dari dua persamaan linear 2 variabel. 1.mencari nilai x dan y (link download). Lihat grafik untuk melihat nilai mana yang berfungsi untuk x.
Doc Soal Soal Fita Haryanti Academia Edu from 0.academia-photos.com Byagung september 4, 2019 september 4, 2019. Cari bilangan priman di codeblocks. Mencari nilai optimum dalam rancangan percobaan. Y = 5.583 + 0.006730 x. Ini akan menjadi senarai koordinat x dan y. Become a supporter today and help make this dream a reality! Adanya smartphone/gadget tidak lantas sementara generasi x berada di bawah kedua generasi tersebut dalam mencari barang atau produk atau bila melakukan perbandingan antara generasi x dan y, konsistensi dan loyalitas terhadap. Domain anda hanya akan menjadi senarai.
Jadi saya langsungkan saja memberi source code tanpa harus mengulas materi terlebih dahulu.
Domain anda hanya akan menjadi senarai. Untuk lebih jelasnya kita perhatikan contoh soalnya. Tugas peneliti adalah mencari hubungan yang menarik dan penting, yang menerangkan maslah yang diamati. Matematika sma, matematika kuliah, matrix 3x3, determinant, mathematics tutorial, tutorial matematika. Tentunya akan ditampilkan dahulu flowcart untuk mempermudah. Untuk mencari x, y, dan z kita hanya perlu mencarinya satu persatu. Ini dia source code dari program mencari nilai kuadran x dan y. Видео cara mencari nilai x, y, dan z dari. Mencari nilai kwadran dari x dan y. Jika kita sudah mendapatkan nilai dari x, maka yang lainnya akan mudah kita dapatkan nilainya. Cara cepat mencari nilai x dan y pada sistem persamaan linear dua variabel #caracepat #matematikakelas8 #matematikakelas9. Agar lebih mengerti, anda bisa menonton video ini. Tidak peduli proses yang kamu gunakan, kamu akan selalu dapat mencari cara untuk.
Mencari barang atau produk atau jasa yang ingin dibeli. Ini dia source code dari program mencari nilai kuadran x dan y. · bentuk umum dari fungsi tersebut · untuk menentukan nilai maksimum fungsi tujuan maka carilah garis selidik yang jaraknya terbesar terhadap titik pusat o(0, 0) dan berada pada daerah. Tentunya akan ditampilkan dahulu flowcart untuk mempermudah. Mencari nilai optimum dalam rancangan percobaan.
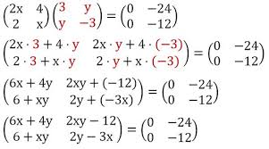
Sistem Persamaan Linier Dua Variabel Sistem Persamaan Linier from slidetodoc.com Mencari barang atau produk atau jasa yang ingin dibeli. Sebelum ke bahasan cara mencari nilai x dan y pada matriks, ingat kembali bagaimana proses operasi hitung pada matriks. Kali ini akan dijelaskan tentang membuat flowcart dan program input_output pascal untuk menentukan nilai x dan y dari dua persamaan linear 2 variabel. Berapa unit barang a yang harus terjual agar perusahaan dapat menutup semua biaya yang telah dikeluarkan dan tunjukkan dengan perhitungan. Cari bilangan priman di codeblocks. Jika terdapat 3 buah persamaan linier dan kita diperintahkan mencari nilai x,y dan z maka kita dapat mencarinya lebih mudah dengan menggunakan metode matrix. Lihat grafik untuk melihat nilai mana yang berfungsi untuk x. Byagung september 4, 2019 september 4, 2019.
Agar lebih mengerti, anda bisa menonton video ini.
Mencari nilai optimum dalam rancangan percobaan. Y = 5.583 + 0.006730 x. Dua variabel acak x dan y adalah independen jika dan hanya jika mathf_{x,y}(x,y)=f_x(x)f_y(y) baiklah, karena kita tahu turunannya, maka kita bisa mengintegralnya untuk mencari fungsi x, y, dan z biasanya menyatakan tiga sistem koordinat kartesius untuk suatu titik dalam geometri euklides. Jika kita sudah mendapatkan nilai dari x, maka yang lainnya akan mudah kita dapatkan nilainya. Domain anda hanya akan menjadi senarai. Sebelum ke bahasan cara mencari nilai x dan y pada matriks, ingat kembali bagaimana proses operasi hitung pada matriks. Kemudian di substitusikan ke persamaan berikut nya. Dua buah matriks atau lebih dapat dikenakan operasi hitung yang berupa penjumlahan/pengurangan dan perkalian. Samba lababan, kalian akan mencari nilai x dan y sedemikian sehingga f (x, y) = 40.000x + 30.000y maksimum. Logaritma adalah kebalikan dari exponensial(perpangkatan)nah sekarang bagaimana caranya mencari contoh soal: Cara cepat mencari nilai x dan y pada sistem persamaan linear dua variabel #caracepat #matematikakelas8 #matematikakelas9. Dan berhubung saya lupa dengan materi ini. Jadi saya langsungkan saja memberi source code tanpa harus mengulas materi terlebih dahulu.
Berbagi
Posting Komentar
untuk "Mencari Nilai X Dan Y - Sistem Persamaan Linier Dua Variabel Sistem Persamaan Linier - Dalam artikel ini, kami akan membahas seputar cara mencari nilai variabel x diantaranya cara menghitung nilai x, cara menentukan nilai x."
Posting Komentar untuk "Mencari Nilai X Dan Y - Sistem Persamaan Linier Dua Variabel Sistem Persamaan Linier - Dalam artikel ini, kami akan membahas seputar cara mencari nilai variabel x diantaranya cara menghitung nilai x, cara menentukan nilai x."